- Arduino NANO board -1
- Hall effect sensors -2
- Train toy with track -1
- servo motors -2
- jumper wires as required
- Arduino UNO board
- Ultra Sonic sensor-1
- LED s red -4
- 5v source ( battery or 5v adapter)
- magnets


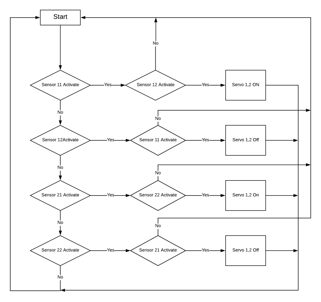
Procedure:
You need to connect the circuit as mentioned in the circuit diagram.
You need to stick the magnets to the train toy which it can pass through hall effect sensor.
a 5v HW battery or a 5v supply can be used
I will give the documentation file of the project
About the project
The objective of this project is to provide an automatic railway gate at a level
crossing replacing the gates operated by the gatekeeper. It deals with two things.
Firstly, it deals with the reduction of time for which the gate is being kept closed.
And secondly, to provide safety to the road users by reducing the accidents.
By the presently existing system once the train leaves the station, the stationmaster
informs the gatekeeper about the arrival of the train through the telephone. Once the
gatekeeper receives the information, he closes the gate depending on the timing at
which the train arrives. Hence, if the train is late due to certain reasons, then gate
remain closed for a long time causing traffic near the gates.
By employing the automatic railway gate control at the level crossing the arrival of
the train is detected by the sensor placed near to the gate. Hence, the time for which
it is closed is less compared to the manually operated gates and also reduces the
human labour. This type of gates can be employed in an unmannerly level crossing
where the chances of accidents are higher and reliable operation is required. Since,
the operation is automatic; error due to manual operation is prevented.
Automatic railway gate control is highly economical micro controller based
arrangement, designed for use in almost all the unmanned level crossings in the
country. In this we mainly use motors which are controlled by Microcontroller and
they are sensed by IR sensors. The microcontroller is powered by DC supply. When
the IR sensor senses the signal and it triggers the buzzer circuit. And the motors are
controlled by the microcontroller when sensor gives signal then the gates are closed
on either sides of the railway track. This is the main working of this project
Microcontroller based automatic railway gate control.
For more details just comment in the comment box
here is documentation file of the project
thank you
Follow for more updates and follow my facebook page for instant udates.